评估均价、签约选房、摸号选房...这个街坊公告出了
上海虹口
关注原标题:评估均价、签约选房、摸号选房。。。这个街坊公告出了!
135街坊的居民朋友注意啦!最新出炉的关于房屋评估均价、签约选房、摸号选房等相关事项公告已在街坊内公告公示栏和征收基地公示栏张贴,可前往查询相关信息。
首先
是居民们最关心的房屋评估均价!
关于虹口区135街坊被征收居住房屋评估均价的公告
51029元/平方米!
3月13日-14日,经办人员将陆续发放 “三件套”,即虹口区135街坊房屋征收与补偿方案(小册子)、虹口区135街坊房屋补偿方案告知单、分户评估报告,主要方式为预约领取、预约上门,送到每一证居民手中,请保持手机畅通,与经办人多沟通联系!拿到“三件套”的街坊邻居们,可以拿起计算器,“敲敲”选择全货币的自家“大蛋糕”有多大啦!
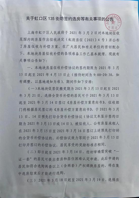
关于虹口区135街坊签约选房等有关事项的公告
关于虹口区135街坊摸号选房操作办法
135街坊集中选房流程图
小贴士
重要时间节点请注意
签约期限:2021年3月15日起至2021年4月15日止(接待时间为9:00-20:30)
促签促搬奖期:3月15日至3月21日
选择全货币补偿的居民可于2021年3月13日起至2021年3月14日签订《房屋补偿方案意向书》,征收部门将根据居民签订的《房屋补偿方案意向书》,于2021年3月13日、14日预先打印全货币补偿协议(协议文本显示签约日期为2021年3月13日或14日)。被征收人、公有房屋承租人在2021年3月15日至2021年3月16日签订上述预先打印好的全货币补偿协议的,补偿协议效力等同于2021年3月15日打印并签订的补偿协议,居民享受的奖励标准亦相同。
选择产权调换房屋的居民,签订购房意向书,并领取摸号顺序号:3月18日至3月19日
3月19日20:30,将停止领取摸号顺序号,由居民监督评议小组监督“封号”。
选房摸号日(摸取“选房号”):3月20日
10:00,在舟山路555号二楼大会议室,举行《虹口区135街坊房屋征收摸取选房号现场会》,摸取“选房号”。
13:00,选择产权调换房屋的居民按“选房号”顺序选房,并签订补偿协议。
请大家抓紧时间和家人商定
早定方案,早日签约,多拿奖励,
与经办人保持密切联系哦!



















